K (here it is X).S (without the zero)T – t (difference between expiration and now).
import math
from scipy.stats import norm
def black_scholes_dexter(S0,X,t,σ="",r=10,q=0.0,td=365):
if(σ==""):σ =indiavix()
S0,X,σ,r,q,t = float(S0),float(X),float(σ/100),float(r/100),float(q/100),float(t/td)
#https://unofficed.com/black-scholes-model-options-calculator-google-sheet/
d1 = (math.log(S0/X)+(r-q+0.5*σ**2)*t)/(σ*math.sqrt(t))
#stackoverflow.com/questions/34258537/python-typeerror-unsupported-operand-types-for-float-and-int
#stackoverflow.com/questions/809362/how-to-calculate-cumulative-normal-distribution
Nd1 = (math.exp((-d1**2)/2))/math.sqrt(2*math.pi)
d2 = d1-σ*math.sqrt(t)
Nd2 = norm.cdf(d2)
call_theta =(-((S0*σ*math.exp(-q*t))/(2*math.sqrt(t))*(1/(math.sqrt(2*math.pi)))*math.exp(-(d1*d1)/2))-(r*X*math.exp(-r*t)*norm.cdf(d2))+(q*math.exp(-q*t)*S0*norm.cdf(d1)))/td
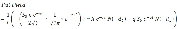
put_theta =(-((S0*σ*math.exp(-q*t))/(2*math.sqrt(t))*(1/(math.sqrt(2*math.pi)))*math.exp(-(d1*d1)/2))+(r*X*math.exp(-r*t)*norm.cdf(-d2))-(q*math.exp(-q*t)*S0*norm.cdf(-d1)))/td
call_premium =math.exp(-q*t)*S0*norm.cdf(d1)-X*math.exp(-r*t)*norm.cdf(d1-σ*math.sqrt(t))
put_premium =X*math.exp(-r*t)*norm.cdf(-d2)-math.exp(-q*t)*S0*norm.cdf(-d1)
call_delta =math.exp(-q*t)*norm.cdf(d1)
put_delta =math.exp(-q*t)*(norm.cdf(d1)-1)
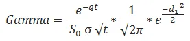
gamma =(math.exp(-r*t)/(S0*σ*math.sqrt(t)))*(1/(math.sqrt(2*math.pi)))*math.exp(-(d1*d1)/2)
vega = ((1/100)*S0*math.exp(-r*t)*math.sqrt(t))*(1/(math.sqrt(2*math.pi))*math.exp(-(d1*d1)/2))
call_rho =(1/100)*X*t*math.exp(-r*t)*norm.cdf(d2)
put_rho =(-1/100)*X*t*math.exp(-r*t)*norm.cdf(-d2)
return call_theta,put_theta,call_premium,put_premium,call_delta,put_delta,gamma,vega,call_rho,put_rho
S0 = 34950.60
X = 35000.00
σ = 14.72
t = 3
call_theta,put_theta,call_premium,put_premium,call_delta,put_delta,gamma,vega,call_rho,put_rho=black_scholes_dexter(S0,X,t,σ="",r=10,q=0.0,td=365)
print(call_theta)
print(put_theta)
print(call_premium)
print(put_premium)
print(call_delta)
print(put_delta)
print(gamma)
print(vega)
print(call_rho)
print(put_rho)
-35.57594968706057
-25.994786756764814
175.92468507293597
196.56938065246504
0.4850057898780081
-0.514994210121992
0.0008543132102275919
12.621618527502404
1.378793315723619
-1.495555563365108
Call option C and put option P prices are calculated using the following formulas:
![]()
where N(x) is the standard normal cumulative distribution function.
The formulas for d1 and d2 are:
![]()
In the original Black-Scholes model, which doesn’t account for dividends, the equations are the same as above except:
S0 in place of S0 e-qtq in the formula for d1Therefore, if the dividend yield is zero, then e-qt = 1 and the models are identical.
![]()

… where T is the number of days per year (calendar or trading days, depending on what you are using).





The function to find the option price using Black-Sholes model refers to indiavix() function but the function’s definition is not found in the code. Where can I find the indiavix() function?
Check the library used.